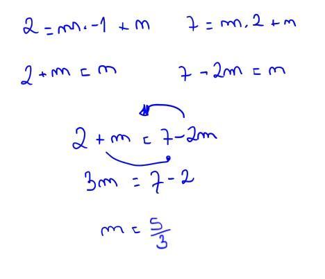
O gráfico da função f(x) = mx + n passa pelos pontos (-1,2) e (2,7). O valor de m é: *
Mais perguntas de Física
Top Semanal
Top Perguntas
Você tem alguma dúvida?
Faça sua pergunta e receba a resposta de outros estudantes.
