5-Somando as matrizes abaixo, encontramos: A)11 514 12B)1 1212...

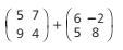
5-Somando as matrizes abaixo, encontramos:

A)

11 5

14 12

B)

1 12

12 14

C)

12 2

14 0

D)

1 5

12 2

E)

11 9

4 12

5-Somando as matrizes abaixo, encontramos: A)11 514 12B)1 1212 14C)

3 Respostas

Julianaasocial

Explicação passo-a-passo:

Resultado da soma das matrizes

5+6 7-2

9+5 4+8

11 5

14 12

0
carolwxc

Resposta:

item a)

Explicação passo-a-passo:

A = 5 7

9 4

B = 6 -2

5 8

A + B

5+6 7+(-2)

9+5 4+8

11 5

14 12

0

Explicação passo-a-passo:

5 7 6 -2

9 4 + 5 8

11 5

14 12

item a)

0

Mais perguntas de Matemática

Toda Materia
Toda Materia
Toda Materia

Você tem alguma dúvida?

Faça sua pergunta e receba a resposta de outros estudantes.