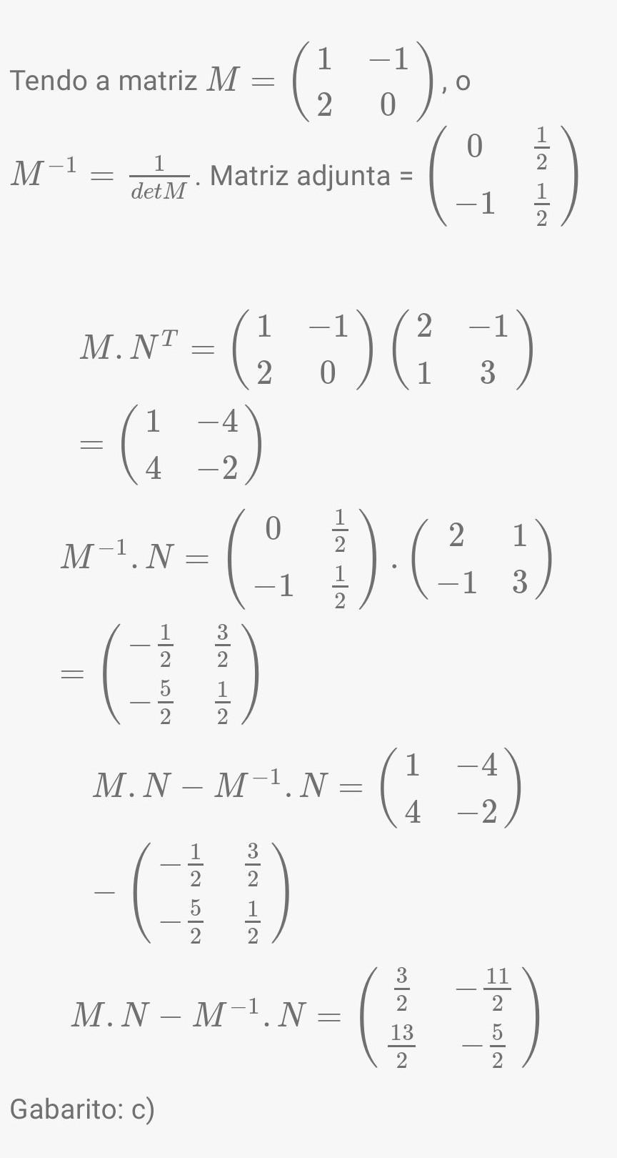
gente tem essa imagem que é a resolução dessa questão só que a minha dúvida é como que o cara consegui achar -5/2 na multiplicação das matrizes pq toda vez que eu faço a questão não acho -5/2
se alguém souber como o cara achou esse resultado por favor diz aqui
se alguém souber como o cara achou esse resultado por favor diz aqui
1 Resposta
Mais perguntas de Matemática
Top Semanal
Top Perguntas
Você tem alguma dúvida?
Faça sua pergunta e receba a resposta de outros estudantes.
