Benjamin Gomes

me ajudemmmm pfvvvvv​

me ajudemmmm pfvvvvv​

2 Respostas

Resposta:

Explicação passo a passo:

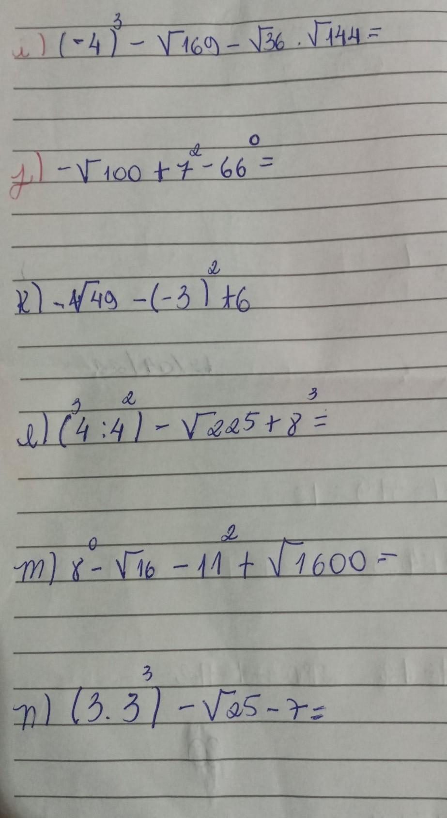
i)

(-4)^3 = -64

raiz de 169 = 13

raiz de 36 = 6

raiz de 144 = 12

-64-13-6*12 = -64-13-(6*12) = -64-13-72 = -77-72 = -149

0
pirosteta

Resposta:

letra C

Explicação passo a passo:

I)A afirmação é falsa,pois nenhum número natural pode ser irracional.

II)A afirmação é falsa,pois nem todo número racional é natural.

III)A afirmação é verdadeira,pois todo número inteiro é real sim.

IV)A afirmação é falsa,pois nem todo número real é irracional

V)A afirmação é verdadeira,pois todo número natural é racional sim.

Portanto,somente as afirmações III e V estão corretas.

ESPERO TER AJUDADO!!

0

Mais perguntas de Matemática

Toda Materia
Toda Materia
Toda Materia

Você tem alguma dúvida?

Faça sua pergunta e receba a resposta de outros estudantes.